显赫世家、万历举人与弘治县令之谜
国有史,方有志,家有谱,是中华文化延绵不绝的主要原因。 人一辈子最主要的问题,也是要“知所来、知所去”。所以,搞清自己的祖宗之源,是许多中国人梦寐以求的事。 最近,我在寻找族谱、查证祖源的过程中,意外地发现了家乡湖北天门市(旧称竟陵县)一个500多年前的明朝县令信息。这个邓姓县令,此前不见于任何《天门县志》的记载,从地方志的角度来讲,这个发现非常重要。 一、光绪老谱中显赫的曾孙庆世家 感谢天门市竟陵城关西门小河口的曾令荣、曾少荣兄弟,向我出示了盖有雍正御赐“省身念祖”鈐印的清朝光绪丁未年(1907)《武城曾氏重修族谱》。 这份弥足珍贵的族谱,多亏了曾令荣兄弟的父亲曾海水老先生,在鼎革后“破四旧”的疯狂时代,冒着风险将祖谱机智地藏于伙房柴堆之下,才得以幸免于难,保存至今。

此谱记载的,是一支明朝初年由江西迁湖广的曾姓族人。元朝末年,朱元璋大败陈友谅登上皇帝宝座。但毕竟是一个和尚摇身一变而成的圣君天子,对曾经跟他作对的陈友谅的老家,还是放心不下。洪武元年(1365)的登基之日,即命大将常遇春征讨湖广沔阳、襄阳。
这常遇春也是个地痞强盗出身,只是有一身蛮力,跟着朱和尚夺了江山,做了大将。但他心里如他的主子一样,没念过几页书,幸福来得太突然,也有点不自信了。相传他攻进湖北沔阳、襄阳后,见到城门两边夹队欢迎他的人,举着两面有字的牌子,大怒,出城即命屠城。
真是“兴,百姓苦;亡,百姓苦。”古往今来,改朝换代得益的,只是那么造反上台的人。
把人杀光了怎么办?移民。于是,正统年间的1450年前后,有一支曾姓族人,在68派祖曾䋥的带领下,从江西吉安,经湖北的京山白马庙,辗转迁徙到天门城东南六里的撒花台落脚,种水稻为生。曾䋥后来还是难以养家,随即沿汉水北上,到当阳做生意,最后埋在了湖北远安和南漳之间。曾䋥的第四个儿子曾潮㻉,留在了天门城南三十里的岳口莲台寺定居。
据说,后来再迁到“城内白螺山”的,就是曾潮㻉的第四子盟銢的后代。但族人之间对于上接曾氏南宗子集房的世系,也还存在一些争议。仅从光绪年间的旧谱对这支曾氏族人的记载来看,65派贞樂房系大致生活在明朝弘治到清朝康乾之间,其主要世系是: 64派“闻川,配王氏,生子一:乐。公由城内白螺山迁西门小河口。” 65派“贞樂,名安,配蓝氏,生二子:庆、祉” 66派“樂长子尚羻,原名孙庆,配胡氏,继娶程氏,生于万历癸巳年(1593),生子二:官、赏;生女三:长适皂市浙江海盐县正堂毛一骏,次适历任知县关荣,三适横林口鄢。” 67派“庆次子衍赏,原名懋赏,字尔功,生于万历庚申(1620)七月二十日辰时,康熙年殁葬大门前。配杨氏,生子二:煌、焯。” 68派“赏长子兴煌,字辉吉,康熙甲午(1714)殁葬沱浦湖西边,配鄢氏,生子四:正、璋、瑞、瑚。” 这一看不得了,66派曾孙庆的两个女儿居然都嫁给了县令! 我请教了民国天门曾氏族长的后代、80多岁的曾繁义老先生,他告诉我:“能把两个女儿嫁两个县令的,必然不是普通家族,非富即贵。”我又咨询了自家70多岁的大表叔向望春,他说:“过去婚姻讲究门当户对,女儿出嫁可以下嫁,但绝不可能高攀。”而且这支族人的祖宅地“城内白螺山”,也是由客居京山的天门文史专家尔也先生专文考证过的“书院”之地(《尔也:方知县重修天门白螺山书院》)。这样看来,曾孙庆公的世家必不在举人、县令之下。这个明朝万历年间的湖北天门曾氏家族,一定曾经显赫。 二、天门曾孙庆世家的史籍考察 得益于万能的网络和国家图书馆数字化工程,我很快核实了曾孙庆家族的如下信息: (一)曾孙庆两个县令女婿。
相对于国史、方志,一般的族谱的可信度要低一些,主要原因在于家谱往往隐恶扬善、喜攀高枝。但曾孙庆的两个女婿姓名、官职记载明确,是可以通过方志查证的。 查《天门县志》《景陵县志》和浙江《海盐县志》:“毛一骏,字翰如,崇祯庚午(1630)乡试举人”“顺治乙未(1655)授海盐令,有《拙存堂稿》”。为官期间,他还捐俸修建城墙和海塘,海盐县的人们至今还记着这位县令的好。看来,曾孙庆家谱中的“浙江海盐县正堂毛一骏”,其说不诬。 但曾孙庆二的女婿“历任知县关荣”,找起来就比较费劲了。后来一个偶然的机会,我了解到这“关”姓也是名门、武圣关羽之后啊。于是,通过互联网搜索,我结识了汉寿亭侯、武圣关公的俸侍官后代,湖北公安县政协委员关业清先生。
关先生向我介绍:明未清初有一个《关氏族谱》的重修人叫“关庸”,“荣”和“庸”在我们湖北方言中都是一个音yóng,也许是同音而误? 随后,通过查阅《公安县志》《江陵县志》和直隶《宝坻县志》,我还真找到了湖北公安康熙年间的一个“历任知县”:“关以华,字竹坚,汉寿亭侯五十代孙,顺治戊戌(1658)进士,除宝坻知县”“后署蓟州事”。而且,关以华的孙子关朝柱,“字襄鑾,雍正已酉举人、癸丑进士,历知新淦、瑞昌、龙南三县”,祖孙两代都有“历任知县”的经历。
看来族谱中所载的曾孙庆二女婿、明未清初的“历任知县关荣”,虽然还不能确定,但也不是空穴来风。

(二)曾孙庆的舅家蓝氏与亲家鄢氏。
在一些方志史料的查对过程中,名家大姓往往重名太多,不易查证。但一些不常见的小姓,却能为史实互证提供一些帮助。
前谱记载,曾孙庆的父亲贞樂“字安,配蓝氏”;小女儿“适横林口鄢”。“蓝”与“鄢”,实属稀有小姓,也许我这能从这里取得一些突破。 查《天门县志》,明末清初蓝氏和鄢氏有功名的人还真不多。其中蓝姓仅有蓝应斗、蓝纲父子,鄢姓则仅有鄢应存、鄢应元兄弟。
与浙江《桐乡县志》和福建《顺昌县志》互证,可见如下信息:天门人“蓝应斗,字文煜、号辉甫,万历壬午(1582)举孝廉,万历庚戌至壬子间知桐乡县”“有政声,入祠乡贤”。蓝应斗之子“蓝纲,字尚夫,号锦淙,崇祯癸酉(1633)举人、丁丑(1637)进士,知顺昌县”。原来曾孙庆的母亲蓝氏的家族,也是父、子两代举人、进士,妥妥的书香门第啊。 再看曾孙庆的鄢姓亲家:鄢应荐,字荻冈,万历壬午举人、国子监正,礼部司务;鄢应元,字长公,崇祯癸酉贡生1633。看来,这曾孙庆的鄢姓小亲家也是出了举人、贡生的功名人家,而且鄢应荐与曾孙庆舅家的蓝应斗还是“壬午”同科举人。
可不要小看了这个“同年”,在科举时代,同年登科的人,可是一辈子的交情。说不定,正是曾孙庆舅家的举人蓝应斗做的媒,将同科举人鄢应荐的同族远房小弟鄢应元或其他鄢姓子弟,介绍给曾家做了女婿,亲上加亲嘛。
唐代史学大家刘知几,在他的名著《史通》中提出史学家应具史才、史学与史识。看来,历史有时还真能激发人们的无穷想象。
(三)“非富即贵”的曾孙庆是谁? 那么这个“舅家为举人和进士、两个女儿都嫁县令的”曾孙庆,到底是谁呢?令人遗憾的是,遍查道光、乾隆《天门县志》和康熙《景陵县志》,以及《湖广通》《四库全书》,居然找不到湖北天门万历年间这个显赫世家的任何记载。
是不是受万历年间张居正事件的影响,其得力助手曾省吾被抄家后,湖广一带的曾氏隐姓埋名、不事张扬了呢?张居正亲手把万历皇帝带大,教给他治国理政之才。但张居正尸骨未寒,万历就因为有个公主出嫁珠宝没有凑齐,听信谗言对张家人动手,取消了张居正的一切封赐,逼死了张居正的长子,甚至株连到了曾省吾家族。看来,与圣君天子走得太近,也没用。喜怒无常的最高领导,往往翻脸不认人。 但万历很快也自觉理亏、搞过了,不久是给张居正、曾省吾平了反的。而且像《湖广通志》之类的志书,都是奉皇帝诏书由官方编写的正史,一些史实资料该搜集的都应该汇集到啊,怎么偏偏没有“曾孙庆”家族的记载呢?
基于这一疑问,我决定从方志、古籍的科举、秩官等曾姓人物中,寻找曾孙庆家族的蛛丝马迹。 三、史籍中的万历举人曾曰唯与曾孙庆世家之关系 明末清初,湖北天门有功名的曾姓人物,除弘治初年(1488)出了一个贡生曾贤(字希哲,河南按察司照磨)外,目前查得到的其他人,只有万历举人曾曰唯、崇祯拔贡曾其传父子二人。 经《天门县志》《景陵县志》与《武平县志》和《兴宁县志》相互印证,曾曰唯家族的信息如下:
“曾曰唯,字心尼,万历年辛卯科(1591)举人,天启年(1620)任武平(今福建龙岩)知县”“湖广沔阳举人,二年(1622)改兴宁(今广东兴宁)致仕”。其父曾奎因子贵、“例赠文林郞、兴宁知县”,其子“曾其传,字宗之,崇祯庚午(1630)贡士,崇祯丙子(1631)拔贡入监”。 这个曾曰唯也真不容易,他的中举成名比著名的竟陵派文学领袖钟惺还早十年,但直到30年后,才获得机会出任福建武平和广东兴宁的县令。个中原因,可能与晚明党争有极大关系。
万历之始,皇帝荒淫、不理朝政,阉党与东林党,以及浙、齐、楚、宣、昆等省籍的举子党人之间,相互倾轧。一派当权得势之后,其他党人往往十数年间得不到任何提拔的机会。而张居正、曾省吾等楚党失势,自然就殃及到了天门举人曾曰唯,辛辛苦苦一辈子读书科考成功,却坐了三十年冷板凳。
不过,令人稍感安慰的是,从上述曾曰唯、曾其传父子的功名信息中,还是能找到一些与曾孙庆世家的交集:
首先,曾孙庆的舅家举人蓝应斗的中举时间为万历壬午(1582),而曾曰唯的中举时间为万历辛卯(1591),前后不过九年。同一个时期、在同一个县的举子们,应该有某种程度的关系。
其次,曾孙庆的舅家蓝应斗之子蓝纲中举人、进士(崇祯癸酉1633、崇祯丁丑1637),二女婿毛一骏中举(崇祯庚午1630),三女儿婆家的鄢应元贡士(崇祯癸酉1633),与曾曰唯的儿子曾其传的拔贡(崇祯丙子1636),都在崇祯之初不过十年的时间。作为同一个县的明朝末年科举风云人物,他们相互之间的熟识是不用怀疑的了,彼此之间结成姻亲的可能性也非常大。
尽管天门万历年间的曾孙庆世家与举人曾曰唯家族存在很大的相似性,要证实他们之间的关系,还需要强有力的证据出现:比如,如果《关氏族谱》记载关以华家族有夫人来自天门举人曾曰唯之家;或《毛氏宗谱》记载毛一骏迎娶的是曾曰唯家族的女儿。
相信随着时间的推移,新的史实证据会逐渐显现出来。诚心所至,金石为开,我对祖源信息孜孜以求的寻找,说不定会得到祖宗暗中的呵护与启示。 四、“偶遇”曾孙庆老家的弘治县令邓希正
带着上述信念,为解决曾孙庆世家与万历举人曾曰唯关系的不确定性,我开始从更多的方志、古籍和互联网中,寻找其他线索。
(一)有多少个“曾曰唯”?
令我惊讶的是,搜索发现明清两代叫“曾曰唯”的读书人还真不少,这也许与论语中的名句有关?这句名言,出自《论语·里仁篇》。
子曰:“参乎,吾道一以贯之。”曾子曰:“唯。”
就是这么一句话,意思是孔子希望自己的弟子曾参能一以贯之地继承自己的思想,曾子(名参,字子舆)认真承诺:一定做到。后来孔子临终托孤,将自己的孙子孔伋(子思),托付给曾参,由他培养子思,子思后来又传孟子而有了儒家的“思孟学派”,这是后话。
孔子是至圣,孟子是亚圣,子思是述圣,于是孔子的高足、孟子的师祖曾参,被历代帝王们赐封成了“宗圣”,意即曾参得到了孔子的真传。当然,曾参更被尊为天下曾氏的开派之祖。而四书五经中的名句“”曾子曰唯”,也就成了许多靠皓首经年的科举当官的曾姓后代起名的不二选择。 在这些搜索中,比较有名的“曾曰唯”有:河南光山的万历进士曾曰唯(字希荣、号冠轩),湖北石首的康熙举人曾曰唯(字康生),福建兴化的万历十年的举人曾曰唯(思恩推官),江苏江都的清末知名书法家曾曰唯(字贯之),以及广东程乡的明末诸生、著名诗人曾曰唯(字道生)。
(二)“偶遇”的弘治竟陵县令。
于是,我决定在广东《兴宁县志》《平远县志》等与程乡有关的方志中好好找一找,但很遗憾,都没有找到“诸生曾曰唯”。估计,一个秀才,是上不了方志的。不过,我却找到了一个与天门举人曾曰唯父亲同名的兴宁举人“曾奎”,而且兴宁曾奎的重孙曾荣科,还是兴宁的进士。 湖广天门曾曰唯的父亲叫“曾奎”,他任县令的广东兴宁县也有一个同一时期的“曾奎”!而且,据我所知,广东兴宁的长乐乡,有一支曾姓族人与湖北汉川的曾氏应吾房系是同一个祖源。
历史,怎能不叫人联想?
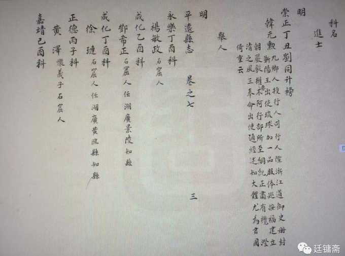
更为意外的是,我在《平远县志·卷之七》的“选举·举人”志中,偶然发现了一个天门(竟陵)县令的记载:“成化乙酉科,邓希正,石窟人,任湖广景陵知县。”

《平远县志》(雍正年)
但我在道光、乾隆《天门县志》和康熙《景陵县志》,均没有成化至弘治间的“景陵知县邓希正”的记载,连姓邓的县令都没有。 难道《平远县志》有误?还好,在明代大学问、沔阳人童承叙的《沔阳州志.卷三》的《秩官表》中,我找到了弘治元年有“沔阳州吏目邓(阙名,元年任)”的记载。这个“沔阳州吏目邓XX”,会不会正是“邓希正”呢?从历史沿革来看,天门(竟陵)从明洪武九年(1376)开始,直到天启初年(1620)的两百多年间,一直是沔阳州下面唯一的治县。所以,合理的推测是:邓希正在沔阳州府任吏目,其主要管辖范围和对象,可能是下辖的竟陵县;或者,邓希正任沔阳州吏目后,被下派竟陵知县事。因此,今后天门修方志,建议可以补上这个被遗忘太久的县令:“邓希正,广东平远县石窟人,成化乙酉科举人,弘治元年任湖广沔阳州吏目、知竟陵县事。”
(三)邓县令的家乡河与曾曰唯的宦游地
惊喜还在继续:查360百科,石窟河“源于福建武平县洋石坝,流经广东省平远县等区县”,是一条万历年间人工开凿的盐道运河。 从“武平县”到“平远县(兴宁县)”,这不正是天门举人曾曰唯出任知县的两个宦籍吗?原来,天门曾曰唯天启二年(1622)由福建武平知县,改任广东兴宁知县,正是沿着这条石窟河顺流而下! 广东兴宁的举人邓希正,弘治元年(1488)任竟陵知县,结识了贡生曾贤;一百多年后的天启二年(1622),湖广竟陵举人曾曰唯到邓希正的家乡兴宁任知县,这难道是一种巧合? 历史,有时就是这么有趣。那么,《天门县志》中的曾贤、曾奎、曾曰唯、曾其传家族,与光绪《武城曾氏重修族谱》中的曾闻川、曾安、曾孙庆、曾懋赏显赫世家,会是同一家人吗?湖广天门史籍中的曾奎、曾曰唯、曾其传,与广东兴宁方志中的曾奎、曾荣科,会是祖孙四代人吗?历史,有时也像一位智慧老人,总是在一个寂静的角落,默默地等待有缘人,并给他一个又一个的惊喜。就像我寻找自家祖源未果,却意外发现了500年前的家乡县令一样,相信随着更多史料信息的发现,上述的种种谜团也终究会解开。
庚子腊月于京城半步桥
【参考文献】 1、湖北《天门县志》(王希琮),清道光元年(1821)。 2、湖北《天门县志》(胡翼主修,章学诚主篡),清乾隆乙酉(1765)。 3、湖广《景陵县志》(钱永等修,戴祁等纂),清康熙三十一年(1692)刻本。 4、《武城曾氏重修族谱》(曾令荣、曾少荣收藏),清光绪丁未年(1907)。 5、浙江《桐乡县志》(徐秉元),清康熙17年(1678)。 6、浙江《海盐县志》(王彬),清光绪3年(1877)。 7、《浙江海潮•海塘艺文》(陈川),浙江大学出版社(2013)。 8、湖北《公安县志》(周承弼、袁鸣珂),清同治13年(1874)。 9、湖北《江陵县志》(崔龙见、魏耀),清乾隆59年(1794)。 10、直隶《宝坻县志》(洪肇楙),清乾隆10年(1745)。 11、《湖广通志》(徐国相),清康熙23年(1684)。 12、《沔阳州志》(童承叙),明嘉靖九年(1530)刻本,上海古籍书店(1962印)。 13、福建《武平县志》(刘昈、钟幹丞),民国19年(1930)。 14、广东《兴宁县志》(仲振履),清咸丰6年(1856)。 15、广东《平远县志》(刘骏名),雍正年编(民国抄本)。 16、《广东通志》(郝玉麟),清雍正9年(1731) 17、互联网百度、360百科等搜索引擎。 庚子腊月于京城半步桥
|